關于軟件控制的軌道交通限界檢測裝置的設計與研究
作者:吉忠科1 ,羅 李2 ,陳怡鑫3 ,王 帥4 ,趙 波5 (1.中鐵路安工程咨詢有限公司, 天津 300171;2.中國鐵建電氣化局第五工程有限公司, 四川 成都 610091; 3.南京林業大學, 江蘇 南京 210037;4.北京科技大學, 北京 100083; 5.四川精伍軌道交通科技有限公司, 四川 成都 610097)時間:2022-03-14
摘 要 :本文研究的限界檢測系統是上位機軟件控制的基于斷面檢測法的車載接觸式檢測系統。采用了一臺基于激光測距 的測量光機來測量侵限時侵限點的侵限數據 ;通過基于二維坐標法的標定系統實現由激光器中心坐標系到軌道基準坐標系 的轉換 ;根據線路限界圖制作檢測模板 ;通過設置一攝像機對各檢測模板實時攝像,實現檢測過程的可回溯 ;利用上位機 軟件提取侵限視頻、將檢測結果生成報表 ;通過安裝激光里程計實現列車的里程定位。本文論述了軟件控制的鐵路限界檢 測系統的整體方案及其實現方法,介紹了雙通道實時侵限錄像算法、檢測裝置外輪廓控制過程等。
來源:智能建筑與工程機械
關鍵詞 :限界檢測 ;斷面檢測法 ;可回溯
中圖分類號 :U216.3 文獻標識碼 :A 文章編號 :2096-6903(2021)10-0048-06
0 引言
隨著我國軌道交通愈加快速的發展,傳統的檢測系 統已滿足不了鐵路限界檢測高效、準確的需求,亟需一 種高速化、信息化的限界檢測系統支撐軌道交通的飛速 發展,因此,本課題的研究具有重要意義。 鐵路從開始投入使用至今,限界檢測技術也多種多 樣,從測量方式上,主要分為接觸式和非接觸時兩種 ; 從使用環境上,主要分為便攜式和車載式,其中便攜式 主要用于個別斷面的補充測量,而長距離斷面檢測 , 普 遍使用車載式測量。 國外早期廣泛使用的是接觸式的測量方式,但其測 量速度較低,在繁忙干線上對運輸干擾十分嚴重,且不 能用于電氣化區段。 到如今,他們普遍使用的測量系統多采用基于光傳 播時間原理的旋轉激光掃描測距傳感器,將其直接加裝 到正常運營的車輛或專業檢測車上,經振動補償后,可 獲得線路全斷面尺寸。結合車輛定位系統,記錄斷面的 位置,通過分析線路斷面尺寸及其發展趨勢,實現對線 路全斷面的狀態監測。 目前國內使用較為普遍的測量方式是斷面模板法測 量,根據計算出的設備限界尺寸制作檢測模板和框架, 將它們固定在平板牽引車上,在平板牽引車的牽引下對 全線進行檢測。現有檢測系統具有設備簡單、成本低廉 的特點,但由于其自動化和智能化程度較低,也往往表 現出檢測精度低、效率低、檢測速度較慢等問題。
1 方案概述
在現有車載式的鐵路限界檢測裝置的移動框架的手 搖調節機構上增加了一電機,配合編碼器和主控制器, 實現對移動框架的自動定量調節 ;在平板牽引車底部安 裝一個激光里程計用于車輛定位,解決了檢測到侵限時 不能準確記錄侵限點位置信息的問題 ;設計并制作了一 基于激光測距技術的測量光機,將該測量光機安裝在限 界檢測裝置的框架上,用于精確測量侵限點的侵限數據 ; 在框架的正前方放置了一攝像組件,對檢測過程實時記 錄,便于過程回溯和侵限部分的責任認定 ;設計了一上 位機軟件,對裝置無線控制。
1.1 整體結構設計
如圖 1 所示,該裝置由攝像組件、框架組件、測量 光機及軟件終端組成。

1.1.1 攝像組件
攝像機組件主要由攝像頭、攝像頭防護罩、三腳支 架、萬向節、底板及路由器組成,攝像頭安裝在防護罩 內,再將防護罩安裝在三腳支架上,三腳支架通過萬向節與底板連接,再用磁吸將底板吸附在牽引平板車表面, 達到了將攝像頭固定在平板車上的目的,不用改造牽引 車,安裝方便。攝像機通過路由器將拍攝內容發送到上 位機軟件。
1.1.2 框架組件
框架組件(如圖 2 所示)與現有同類裝置相比,在移 動框架調節機構中,在手動調節的基礎上添加了一執行電 機,同時在移動框架和固定框架之間安裝了可實時獲取精 確移動框架位移量的位移傳感器,配合主控制器,三者構 成閉環控制系統,使移動框架的控制變為手、自一體 ;侵 限檢測方式為 :當建筑或設備侵限時,觸動檢測模板繞 鉸鏈旋轉,帶動感應片遠離接近開關,當感應片與接近 開關距離達到某一值時,接近開關被觸發,可通過調節 接近開關與感應片的初始距離來調節侵限檢測的靈敏度。

1.1.3 測量光機
測量光機(如圖 3 所示)可繞縱軸和橫軸兩個方向 旋轉,天線(2)用于測量光機與主控制器之間通信 ;光 補償器(4)在環境光線較弱時為測量頭(1)提供光線 補償 ;可使用人機交互組件(5)手動對準測量點和測 量 ;通過安裝底座(6)將測量光機安裝在固定框架上。

測量范圍為以所述測量鏡頭旋轉中心為圓心,最大 測量距離為半徑的球形空間。將所述測量光機安裝在固 定框架上一能使測量光機測量激光能覆蓋平板車以上所有斷面模板正面處,侵限時,可通過軟件控制或手動控 制的方式旋轉測量光機使測量激光對準侵限點,便可測 量出侵限點的侵限值,其測量原理如下 :



測量光機可以直接測量得到侵限點到測量光機的直 線距離 S,測量光機內安裝有角度傳感器,用于獲取測 量激光鏡頭旋轉的角度,由角度傳感器可以得到 α、β 的 值,C 的值也可以直接測量得到,θ 可通過查看軌道施 工資料或直接測量得到,由圖 4 可得到 :

其中,y 表示軌道線路中心線與軌道上表面的交點 到測量光機的垂直距離,x 代表軌道中心線與軌道上表 面的交點到測量光機的水平距離,s1 為侵限點與測量光 機的連線到正視平面的投影長度。
在直線段時,α 為零。
1.2 上位機軟件設計
限界檢測裝置的軟件部分,主要分為七個模塊,分 別是 :接收模塊、處理模塊、操作模塊、顯示模塊、數 據管理模塊、存儲模塊以及發送模塊。 曲線地段限界則根據平面幾何的偏移量以及過超高 導致的限界加寬、加高量、曲線軌道參數及車輛參數變 化引起的限界加寬量計算,而直線段和曲線段之間的切 換,則可直接通過軟件進行操作。
軟件框圖如圖 5。

(1)接收模塊。作為數據接收接口,在實時檢測中, 下位機系統收集的當前斷面模板的伸縮量、水平角度以 及激光所測距離值,侵限發生時,所觸發的碰撞檢測組 件的序號,這些數據會通過路由器傳遞到軟件,并通過 接收模塊轉換成程式所能理解的內容傳遞至下個模塊。
(2)發送模塊。相對于接收接口,作為數據發送接 口,主要是將軟件經過一系列處理得到或者從已有數據 庫中提取得到的斷面模板伸縮量及測量光機的旋轉角度數值傳遞給外部輸出端。
(3)操作模塊。測量前,用戶根據實際情況,選擇 對應的斷面模板數據,對伸縮組件進行控制,進而達到 調整斷面模板的目的。 侵限發生時,按照軟件操作提示,旋轉測量光機, 使其對準侵限物后,進行精確測量。
(4)顯示模塊。主要是用于顯示直接接收到的信息, 如來自攝像機的對測量作業全過程的錄像視頻畫面以及 侵限時測量光機中的顯示畫面。 在測量過程中,軟件系統還會實時繪制并顯示實時 畫面。 如果超限便會顯示如某侵限檢測模板動作畫面并實 時報警。
(5)數據管理模塊。數據管理分為兩部分。 第一部分是對斷面模板的管理,用來存儲不同路段 限界數據和斷面模板伸縮量。主要功能分別為增、刪、 查、改 : 增,用戶自身可以根據實際的情況添加自定義的斷 面模板 ; 刪,在增加的基礎上,用戶也可以自己刪除指定的 自定義模板,用于清除冗余模板,便于管理 ; 查,根據模板的創建時間、編號、區段來查詢斷面 模板的信息數據 ; 改,當模板數據錯誤或需要更新數據時,用戶可以 自行修改指定的自定義模板的指定內容。 第二部分是對侵限數據的管理,這部分主要是用于 事后對數據的回溯?;厮輸祿址譃榍窒迶祿?、全景視 頻、侵限圖像。 侵限視頻的查詢可以根據對應的時間、區段、侵限 值直接完成,查詢的結果則可以生產 Excel 報表然后導 出到 Windows 里,用戶可在 Excel 中自行打印或下載 到 U 盤。 全景視頻以及侵限圖像同樣可以依據時間、區段查 詢,查詢結果同樣可以生產 Excel 報表,也同樣可以打 印和下載。 (6)存儲模塊。存儲數據到數據庫內,以及從數據 庫內調用、查找和修改數據。
(7)處理模塊。正常檢測時,軟件系統將會對全景 視頻進行測量時間的字幕合成。 當存在侵限時,軟件系統會自動標紅斷面顯示區域, 并控制蜂鳴器持續蜂鳴,直到用戶手動取消報警。同時, 全景視頻合成字幕會自動添加侵限標識、公里標區間, 還會生成單獨的侵限圖像,同時對侵限圖像進行測量時 間、侵限位置、公里標區間的字幕合成。 發生侵限后,將測量光機測量激光點對準侵限點, 軟件系統會結合具體算法計算出侵限物距離線路中心 與搭軌面交點的垂直和水平距離,然后根據直接外部硬件設備采集和內部算法得出的侵限數據,生成具體的 Excel 報表,表中包含的內容有侵限照片、侵限視頻、 侵限線路、侵限公里標區域、侵限值等,用戶可以根據 實際情況,選擇在測量作業中或測量作業后生成。 在遇到直曲段轉換的時候,軟件具備相應的切換功 能,但需要用戶先停車,然后在軟件中執行切換操作, 之后軟件根據直線段計算曲線段水平超高,并且自動控 制斷面模板修改伸縮量。
1.3 控制系統設計
對移動框架移動量的控制如圖 6 所示。

在軟件中輸入需要移動框架位移的量后,軟件將位 移指令發送給主控制器,主控制器控制電機帶動移動框 架運動,位移傳感器實時讀取移動框架的位移量并上傳 給主控制器,主控制器將位移傳感器上傳的位移量與來 自軟件的設定值比較,當位移傳感器上傳的位移量等于 設定值時,主控制器控制電機停轉。在框架移動過程中, 若觸發了限位開關,主控制器控制電機立即停轉。
2 不確定度分析
2.1 測量光機
2.1.1 標高測量不確定度分析
(1)測量原理。
標高測量主要由激光測距儀、傾角傳感器、豎直光 電編碼器和水平光電編碼器組成。
(2)數學模型。
y=c · cosθ+s · sin(α-β)
式中 :c―軌平面到激光測距儀轉軸中心的距離(機 械設計時的固定值); θ―傾角傳感器測得的軌平面傾角 ; s―激光測距儀測得的從轉軸中心到侵限點的距離 ; α―豎直光電編碼器光柵測出的角度值 ; β―水平光電編碼器光柵測出的角度值。
(3)不確定度來源和分析。
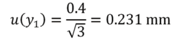
1)組裝加工引入的不確定度 u(y1) :
由組裝精度引入的垂直方向誤差為 0.4 mm,假定 其服從均勻分布,則 :

2)傾角傳感器精度引入的不確定度 u(y2) :
傾角傳感器的精度為 ±0.004°,假定其服從均勻分 布,則 :

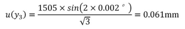
3)傾角傳感器因溫度引起的不確定度 u(y3) :
由于傾角傳感器的溫度漂移特性為 :-25 ~ 85 ℃范 圍內為 ±0.002° /℃,溫度傳感器精度 ±2 ℃,假定其服 從均勻分布,則 :

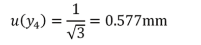
4)激光測距儀引入的不確定度 u(y4) :
在全溫范圍(-20~50 ℃)及測量范圍(0.5~100 m) 激光測距儀精度 ±1 mm,假定其服從均勻分布,則 :

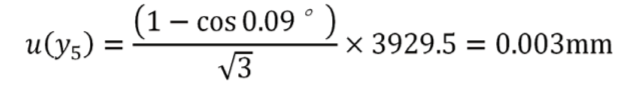
5)激光垂直度引入的不確定度 u(y5) :
激光初始偏差角度為 0.09°,按 最 大 測 量 標 高 3 929.5 mm,假定其服從均勻分布,則 :

6)豎直光電編碼器引入的不確定度 u(y6) :
光電編碼器精度為 40″,按最大測量標高 3 929.5 mm, 假定其服從均勻分布,則 :

7)水平光電編碼器引入的不確定度 u(y7) :
光電編碼器精度為 40″,按轉軸中心到侵限點的最 大橫向距離 742.42 mm,假定其服從均勻分布,則 :

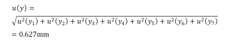
8)標高測量合成不確定度 u(y) :
各不確定度分量相互獨立,互不相關 [1],則 :

(4)擴展不確定度的評定 Uy :
取置信概率 p=95.45%,查表得包含因子 k=2,則 :
Uy=k · u(y)=1.254 mm
2.1.2 限界測量不確定度分析
(1)測量原理。
限界測量主要由激光測距儀、豎直光電編碼器、傾角傳感器和水平光電編碼器組成。
(2)數學模型。
x=s · cos · (α-θ)cosβ+csinθ
式中 :
s―激光測距儀測得的從轉軸中心到侵限點的距離 ;
α―豎直光電編碼器光柵測出的角度值 ;
θ―傾角傳感器測得的軌平面傾角 ;
β―水平光電編碼器光柵測出的角度值 ;
c―軌平面到激光測距儀轉軸中心的距離(機械設計 時的固定值)。
(3)不確定度來源和分析。
1)激光測距儀引入的不確定度 u(x1) :
在全溫范圍(-20~50 ℃)及測量范圍(0.5~100 m) 激光測距儀精度 ±1 mm,假定其服從均勻分布,則 :

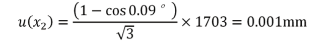
2)激光垂直度引入的不確定度 u(x2) :
激光初始偏差角度為 0.09°,按最大測量限界 1 703 mm, 假定其服從均勻分布,則 :

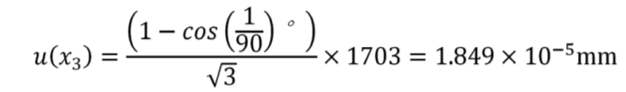
3)豎直光電編碼器引入的不確定度 u(x3) :
光電編碼器精度為 40″,按最大測量限界 1 703 mm, 假定其服從均勻分布,則 :

4)傾角傳感器精度引入的不確定度 u(x4) :
傾角傳感器的精度為 ±0.004°,假定其服從均勻分 布,則 :

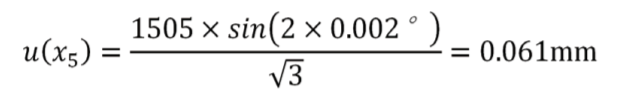
5)傾角傳感器因溫度引起的不確定度 u(x5) :
由于傾角傳感器的溫度漂移特性為 :-25 ~ 85 ℃范 圍內為 ±0.002° /℃,溫度傳感器精度 ±2 ℃,假定其服 從均勻分布,則 :

6)水平光電編碼器引入的不確定度 u(x6) :
光電編碼器精度為 40″,按轉軸中心到侵限點的最 大橫向距離 742.42 mm,假定其服從均勻分布,則 :

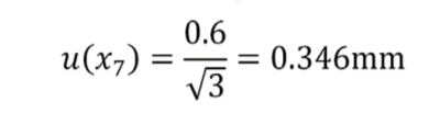
組裝加工引入的不確定度 u(x7) :
由組裝精度引入的水平方向誤差為 0.6 mm,假定 其服從均勻分布,則 :
7)限界測量合成不確定度 u(x) :
各不確定度分量相互獨立,互不相關,則 :

(4)擴展不確定度的評定 Uy :
取置信概率 p=95.45%,查表得包含因子 k=2,則 :
Uy=k · u(y)=1.356 mm
2.2 斷面模板
2.2.1 隧道侵限測量不確定度分析
(1)測量原理。
隧道侵限測量主要由斷面葉片、移動框架、固定框 架、位移傳感器組成。
(2)數學模型。
W=T+P+G+L+S/2
式中 :
T―侵限點處的斷面葉片尺寸 ;
P―侵限點處斷面葉片移動框架的尺寸值 ;
G―侵限點處斷面葉片固定框架的尺寸值 ;
L―位移傳感器的測量值。
(3)不確定度來源和分析。
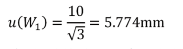
1)組裝加工引入的不確定度 u(W1) :
由組裝加工精度引入的誤差為 ±10 mm,假定其服 從均勻分布,則 :

2)位移傳感器精度引入的不確定度 u(W2) :
位移傳感器精度為 0.01 mm,最大拉出長度為 100 mm, 假定其服從均勻分布,則 :

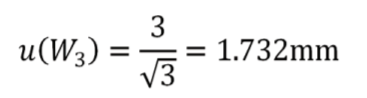
3)裝置對線路中心置中安裝引入的不確定度 u(W3) :
裝置對線路中心置中安裝誤差為 ±3 mm,假定其 服從均勻分布,則 :

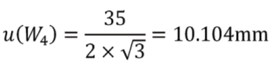
4)軌距值引入的不確定度 u(W4) :
軌距范圍為 1 410 ~ 1 470 mm,與標準軌距 1 435 mm 的最大差值為 35 mm,假定其服從均勻分布,則 :

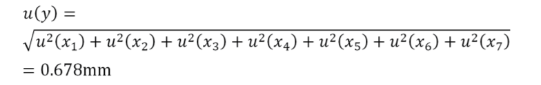
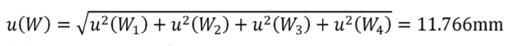
5)隧道侵限測量合成不確定度 u(W) :
各不確定度分量相互獨立,互不相關,則 :

(4)擴展不確定度的評定 UW。
取置信概率 p=95.45%,查表得包含因子 k=2,則 :
UW=k · u(W)=23.531 mm
3 測試數據
為保證檢測裝置的安全性,需驗證對移動框架控制的穩定性。 對移動框架控制的穩定性測試 : 兩框架同步運動,步驟如下 :將兩移動框架與固定 框架貼合并標記為零點,再手動將兩移動框架都調整到 與固定框架橫向距離 100 mm 處,軟件中同步運動框輸 入兩框架的位移量(與零點的距離)依次為 200 mm、 300 mm、280 mm、400 mm、320 mm,每次輸入后 都測量其實際位移量,再將實際位移量與輸入位移量比 較,如表 1 所示。

從表 1 可以看出,控制兩移動框架同步運動時實際 值與輸入值相差較小,不大于 0.4 mm。
4 結論
本文主要介紹了一種在現有接觸式檢測裝置基礎上 略加改進的軟件控制的鐵路限界檢測系統的設計思想和 實現方法,并且研究了解了國內外鐵路限界檢測目前使 用最廣泛的方式,在其基礎上提出了利用軟件控制的接 觸式鐵路限界檢測系統,且完成了系統的設計與制作, 并對系統進行了全面測試,證明了系統的穩定性和實用性。 該系統雖然已經能夠滿足鐵路竣工驗收和日常維護 時的使用需求,但尚還有需后續改進之處,如 :體積較 大,不太便于運輸 ;系統理論滿足應用要求,但實際使 用過程中,激光里程計的定位誤差較大 ;檢測結束后生 成的侵限信息報表中尚還無法包含各路段建筑、設備安 裝施工單位,對侵限處整改責任認定不夠方便。
參考文獻
[1]《鐵路計量技術與管理》編寫組.鐵路計量技術與管理[M].北京: 中國鐵道出版社,2010.
Design and Research on Software Controlled Rail Transit Boundary Detection Device
JI Zhongke1 , LUO Li2 , CHEN Yixin3 , WANG Shuai4 , ZHAO Bo5
(1.China Railway Safety Engineering Consulting Co., Ltd., Tianjin 300171;
2.China Railway Construction Electrifi cation Bureau Fifth Engineering Co., Ltd., Chengdu Sichuan 610091;
3.Nanjing Forestry University, Nanjing Jiangsu 210037;
4.University of Science and Technology Beijing, Beijing 100083;
5.Sichuan Jingwu Rail Transit Technology Co., Ltd., Chengdu Sichuan 610097)
Abstract: The limit detection system studied in this paper is a vehicle-mounted contact detection system based on the section detection method controlled by the upper computer software. A laser ranging-based measuring optical machine is used to measure the intrusion limit data of the intrusion limit point during the intrusion limit; the calibration system based on the two-dimensional coordinate method is used to realize the conversion from the laser center coordinate system to the orbit reference coordinate system; according to the line limit Make the detection template by drawing; set up a camera to take real-time video of each detection template to realize the traceability of the detection process; use the upper computer software to extract the limit video and generate the detection result report; realize the mileage positioning of the train by installing the laser odometer. This paper discusses the overall scheme of the software-controlled railway boundary detection system and its implementation method, introduces the dual-channel real-time intrusion limit video recording algorithm, and the control process of the outer contour of the detection device.
Keywords: limit detection; section inspection method; traceable
免責聲明:本網站所刊載信息,不代表本站觀點。所轉載內容之原創性、真實性、完整性、及時性本站不作任何保證或承諾,請讀者僅作參考并自行核實。

